Добавить в корзинуПозвонить
Найти в Дзене

Ошибка при переписывании условия. Анализ и способ борьбы.

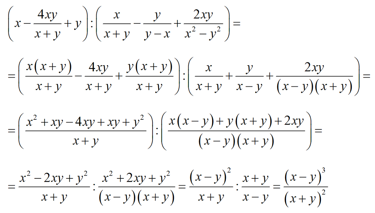
Позавчера мы провели эксперимент, который наглядно продемонстрировал коварность одной популярной ошибки. В небольшой статье была представлено решение задачи №793(2) из одного известного задачника и правильный ответ на неё оттуда же. Так как они отличались, задание для читателей было в том, чтобы найти ошибку в следующих преобразованиях:  Здесь решение указано в сильно сокращённом виде. Но это не никак влияет на суть: проблема была не в самом решении, а в изначально неправильно переписанном условии.  Конечно, в нашем случае есть отличие от того, как эта ошибка проявилась бы в реальности. То, что при поиске не было перед глазами учебника или листочка с заданием, усложнило поиск ошибки. С другой стороны, были и небольшие подсказки: в исходной статье с заданием была указана ссылка на задачу и также были слова о том, что “давайте перепишем условие задачи из учебника”. Это могло как-то насторожить. Да и сам заголовок статьи намекал на то, что что-то тут нечисто.  В действительности многие

Позавчера мы провели эксперимент, который наглядно продемонстрировал коварность одной популярной ошибки. В небольшой статье была представлено решение задачи №793(2) из одного известного задачника и правильный ответ на неё оттуда же. Так как они отличались, задание для читателей было в том, чтобы найти ошибку в следующих преобразованиях: 

-2

Здесь решение указано в сильно сокращённом виде. Но это не никак влияет на суть: проблема была не в самом решении, а в изначально неправильно переписанном условии. 

Конечно, в нашем случае есть отличие от того, как эта ошибка проявилась бы в реальности. То, что при поиске не было перед глазами учебника или листочка с заданием, усложнило поиск ошибки. С другой стороны, были и небольшие подсказки: в исходной статье с заданием была указана ссылка на задачу и также были слова о том, что “давайте перепишем условие задачи из учебника”. Это могло как-то насторожить. Да и сам заголовок статьи намекал на то, что что-то тут нечисто. 

В действительности многие читатели далеко не сразу догадались в чём подвох, однако постепенно сами или с помощью подсказок от других комментаторов, разобрались в чём дело. 

Такой способ демонстрации указанной ошибки был выбран для того, чтобы вы глубже прочувствовали на себе всю её многогранность. Да и в целом она очень интересна для изучения и является “самой-самой” во многих отношениях. 

Она самая обидная. Нет большего разочарования, чем потратив кучу времени на решение, потом ещё больше времени на поиск ошибки, увидеть, наконец, что проблема была такой мелкой. По сути, это даже не математическая ошибка. Это ошибка уровня начальной школы, где одним из заданий на уроке бывает контрольное списывание с доски или учебника. К старшим классам этот полезный навык может подрастеряться. 

У этой ошибки самые большие временнЫе затраты на устранение. Вспомните свои ощущения, когда вы находили у себя ошибку при решении какой-либо задачи с трудоёмкими вычислениями. Обычно ученики испытывают разные чувства в зависимости от того, где она была найдена. Если ошибка обнаружена в конце решения и нужно лишь исправить парочку действий в конце, то это не такое сильное разочарование, как если бы ошибка притаилась в середине. Ведь тогда нужно переделывать всю вторую половину задачи. В нашем случае повезло, что ошибка была только в неправильно указанном знаке. Гораздо чаще при неверно переписанном условии задачу нужно решать всю заново. 

Также эта ошибка самая труднообнаруживаемая. Если ученик не знает техники работы с такой ошибкой, то он может потратить много времени на её поиск и сломать себе голову прежде, чем её найдёт. А скорее всего и вовсе её не обнаружит. Например, один из комментаторов на нашем дзен-канале потратил 40 минут на поиск этой ошибки и в итоге сдался, подсмотрев ответ в комментариях. И это далеко не предел. 

Эта ошибка самая распространённая. По некоторым субъективным оценкам чуть ли не пятая часть всех ошибок связана с неправильно переписанным условием. 

Кстати, у это ошибки есть и модификация: если в разобранном случае задачу мы переписали НЕ ТАК, то в более запущенном случае — НЕ ТУ. На экзаменах такая ситуация редко встречается. Однако, когда даётся задание из сборника или из листочка с перечнем задач, бывает, что решают совершенно другую задачу, которая вроде бы была переписана правильно. 

Теперь коротко про то, как с ней бороться. 

Авторы различных пособий и блогеры, которые дают советы по подготовке, либо не говорят про эту ошибку, либо упоминают её без рекомендаций по её устранению. А иногда и вовсе говорят, что это непобедимая ошибка. Лишь в самом оптимистичном случае могут дать очень общие, и потому бесполезные, советы вроде “будьте внимательнее”, “переписывайте аккуратно”, "сохраняйте концентрацию" и прочие подобные благоглупости. 

На самом деле есть только один правильный подход к борьбе с этой ошибкой. Вам нужно выработать определённую привычку. У опытных педагогов она обычно есть, но пользуются они ей неосознанно и чаще всего не объясняют своим ученикам, как её выработать. 

Суть в следующем. 

Сначала вам нужно будет научиться сразу проверять правильность переписанного условия. То есть каждый раз, как только вы закончили переписывать условие, вам следует остановиться и проверить, правильно ли вы его переписали или нет. Это нужно делать всегда вне зависимости от того, что за задачу вы решаете и в какой ситуации. Не имеет значения, сложная ли это система с параметром или простое линейное уравнение, важный экзамен или обычное школьное упражнение. Не нужно думать, что сейчас вы не будете проверять, а на экзамене внезапно у вас проснётся тяга к перепроверке. Это всё лишь дело привычки. 

И второе, что нужно будет сделать: прежде, чем использовать разные техники проверки правильности решения задачи, вам нужно ещё раз остановиться и проверить условие. 

То есть вам нужно выработать привычку дважды проверять правильность переписывания условия: непосредственно перед решением и перед проверкой на наличие ошибок. Это единственный способ её избежать. 

В следующий раз обсудим другие методы поиска ошибок.