Добавить в корзинуПозвонить
Найти в Дзене

Уравнения в профильном ЕГЭ. Выпуск первый

Что определяет уровень подготовки школьника по математике? Стартовый уровень его готовности к различного рода экзаменам и испытаниям.
В математике есть свои базовые темы, без которых невозможно освоить остальные. Здесь можно сказать и о вычислениях. У старшеклассников тоже остро стоит проблема рациональности устных и письменных вычислений, внимательности при их выполнении. Бывает очень обидно, когда ученик решает сложную задачу и допускает ошибку в вычислениях. Что делать, чтобы считать быстро и без ошибок? Рецепт прост: надо тренироваться, ежедневно. К сожалению, усидчивости, целеустремленности многим не хватает. А здесь ситуация такова, что если сам себе не поможешь, то никто уже не поможет. Мы, педагоги, можем направить, подсказать некоторые нюансы, но заставить взрослых уже школьников тренировать свое внимание могут только они сами, их мотивация. Второе базовое направление - это различного рода алгебраические преобразования. Умение и уверенность проводить преобразования - это фу

Что определяет уровень подготовки школьника по математике? Стартовый уровень его готовности к различного рода экзаменам и испытаниям.
В математике есть свои базовые темы, без которых невозможно освоить остальные.

Здесь можно сказать и о вычислениях. У старшеклассников тоже остро стоит проблема рациональности устных и письменных вычислений, внимательности при их выполнении. Бывает очень обидно, когда ученик решает сложную задачу и допускает ошибку в вычислениях.

Что делать, чтобы считать быстро и без ошибок? Рецепт прост: надо тренироваться, ежедневно. К сожалению, усидчивости, целеустремленности многим не хватает. А здесь ситуация такова, что если сам себе не поможешь, то никто уже не поможет. Мы, педагоги, можем направить, подсказать некоторые нюансы, но заставить взрослых уже школьников тренировать свое внимание могут только они сами, их мотивация.

Второе базовое направление - это различного рода алгебраические преобразования. Умение и уверенность проводить преобразования - это фундамент не только математических знаний, но и прочная основа для успешного освоения физики. Как правило, именно здесь лежит водораздел между технарями и гуманитариями.

Третий кит - уравнения. Уравнения - кругом. Разнообразие зашкаливает. Но всё основано на преобразованиях и вычислениях. При подготовке к ЕГЭ (в первую очередь, профильному) или ДВИ, я считаю работу с уравнениями - не только основной, но и первой темой по порядку изучения/повторения. Почему сразу уравнения? Экономим время, попутно повторяя и преобразования, и методы оптимальных вычислений, и в принципе все алгебраические темы: свойства степеней и логарифмов, корней и модулей, тригонометрию.

Рациональные уравнения. Интересные случаи замены переменной

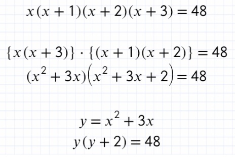
Пример 1. Рассмотрим уравнение, решить которое «в лоб» представляется нереальным. Упрощается в два хода. Первый — группировка сомножителей. Второй — замена переменной. Замена становится видна сразу после первого хода.

-2

Далее решаем квадратное уравнение и возвращаемся к исходной переменной.

Пример 2. Для введения новой переменной необходимо просто увидеть общий множитель во втором слагаемом

-3

И снова решаем квадратное уравнение, потом находим переменную х.

Пример 3. В этом уравнении увидеть новую переменную немного сложнее. Но подсказка в самом условии, справа в скобках. Левую часть получим после несложного преобразования

-4

Пример 4. Это уравнение можно решить несколькими способами. Один из них состоит в предварительном почленном делении левой части, а потом уже хорошо видна замена

-5

В следующей статье по теме «Уравнения» рассмотрим редко используемый метод введения нескольких переменных.