Добавить в корзинуПозвонить
Найти в Дзене

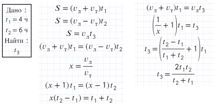
Интересная задача на движение

(задание 11 профильного ЕГЭ) Условие задачи Моторная лодка, двигаясь по течению реки, преодолевает путь от деревни А до деревни В за 4 часа. Обратный путь из В в А та же лодка проплывает за 6 часов. Найдите, сколько времени потребуется этой лодке, чтобы проплыть такой же путь в стоячей воде. Анализ условия Запишем "Дано" (как в задаче по физике), сделаем чертеж и заполним табличку. Решение задачи в общем виде (алгоритм) Зачем решать в общем виде? Проще сразу подставить числа. Но решение в общем виде позволяет потом применить его для любой аналогичной задачи. Таким образом, мы получаем алгоритм решения. В этом состоит физический подход к решению текстовых задач по математике. И не только задач на движение (об этом - в следующих статьях). В приведенном ниже на рисунке решении алгоритм следующий: 1. Записываем путь лодки тремя уравнениями (для движения по течению, против течения и в стоячей воде). 2. Приравниваем первые два выражения. 3. Заметим, что в нашей системе уравнений неизве

(задание 11 профильного ЕГЭ)

Условие задачи

Моторная лодка, двигаясь по течению реки, преодолевает путь от деревни А до деревни В за 4 часа. Обратный путь из В в А та же лодка проплывает за 6 часов. Найдите, сколько времени потребуется этой лодке, чтобы проплыть такой же путь в стоячей воде.

Анализ условия

Запишем "Дано" (как в задаче по физике), сделаем чертеж и заполним табличку.

Решение задачи в общем виде (алгоритм)

Зачем решать в общем виде? Проще сразу подставить числа.

Но решение в общем виде позволяет потом применить его для любой аналогичной задачи. Таким образом, мы получаем алгоритм решения. В этом состоит физический подход к решению текстовых задач по математике. И не только задач на движение (об этом - в следующих статьях).

В приведенном ниже на рисунке решении алгоритм следующий:

1. Записываем путь лодки тремя уравнениями (для движения по течению, против течения и в стоячей воде).

2. Приравниваем первые два выражения.

3. Заметим, что в нашей системе уравнений неизвестных больше, чем уравнений. Но нам нет необходимости искать скорости, достаточно найти их отношение, поэтому разделим уравнение на скорость течения и введем переменную x, равную отношению скорости лодки к скорости течения. Можно также делить не на скорость течения, а на скорость лодки.

3. Находим отношение скоростей.

4. Приравниваем другую пару выражений для пути, первое и третье (можно было взять второе и третье). Делим на ту же скорость, что и в первом случае, и подставляем отношение скоростей ( x ).

5. Находим неизвестное время

-2

Теперь можно подставить числовые значения и получить ответ

Время движения лодки в стоячей воде равно 4,8 часа.