Добавить в корзинуПозвонить
Найти в Дзене

Метод Такку

Статья подготовлена для студентов базового и продвинутого курсов «Математика для Data Science» в образовательном проекте OTUS. Рассчитать показатель Херста, характеризующий тип процесса, доминирующего в динамике временного ряда, можно по методу Такку. Метод заключается в том, что при анализе ряда выбирается скользящее окно, в котором происходит расчёт через авторегрессионную функцию показателя Херста. Через авторегрессионную функцию показатель Херста может быть рассчитан по данной формуле: При движении в заданном окне по длине всего ряда происходит сопоставление рассчитываемой корреляции по формуле Такку с задаваемой. В результате этого определяется оптимальная оценка показателя Херста. Данный метод является самым простым для понимания. Более того, отличительным плюсом данного метода является то, что он не требователен к объему имеющегося ряда. Однако при применении данного метода на практике возникает крайне важный вопрос: какую длину следует устанавливать для скользящего окна.
Статья подготовлена для студентов базового и продвинутого курсов «Математика для Data Science» в образовательном проекте OTUS.

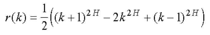
Рассчитать показатель Херста, характеризующий тип процесса, доминирующего в динамике временного ряда, можно по методу Такку. Метод заключается в том, что при анализе ряда выбирается скользящее окно, в котором происходит расчёт через авторегрессионную функцию показателя Херста.

Через авторегрессионную функцию показатель Херста может быть рассчитан по данной формуле:

-2

При движении в заданном окне по длине всего ряда происходит сопоставление рассчитываемой корреляции по формуле Такку с задаваемой. В результате этого определяется оптимальная оценка показателя Херста.

Данный метод является самым простым для понимания. Более того, отличительным плюсом данного метода является то, что он не требователен к объему имеющегося ряда.

Однако при применении данного метода на практике возникает крайне важный вопрос: какую длину следует устанавливать для скользящего окна. Трудно определить оптимальный размер скользящего окна при применении данного метода. Существует аппроксимация данного метода. А именно, при большом количестве наблюдений формула Такку может быть аппроксимирована как:

-3

где С – мера корреляции, H – показатель Херста.

10 октября в 20:00 мск OTUS приглашает на бесплатный пробный урок «Математика для Data Science: из junior в senior» в рамках базового и продвинутого курсов.
Регистрируйтесь сейчас - напомним в день вебинара:
«Математика для Data Science. Базовый курс»
«Математика для Data Science. Продвинутый курс»
Наука
7 млн интересуются