Найти в Дзене
Стив Май

Это - туда, а то - сюда: как культивируются иллюзии в школе

Что лучше - просто о сложном или сложно о простом?

Что лучше - просто о сложном или сложно о простом? Конечно лучше просто!

Примерно с такими мыслями я сталкиваюсь, общаясь с людьми вживую на тему математики или читая комментарии к своим статьям.

Я уже много раз писал, что в математике нельзя просто, что в школах математику подменяют алгоритмикой, что всё, что мы знаем с советской школы - это только верхушка айсберга.

Сегодня постараюсь привести яркий пример, который - я надеюсь - покажет, чем отличается математика от "математики".

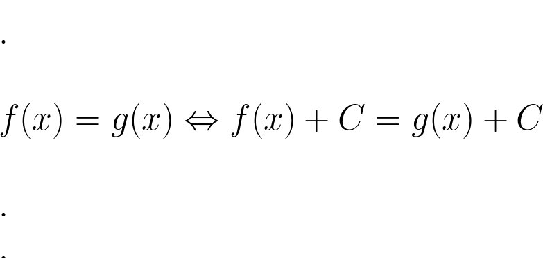
Вспомним приёмы, которые мы применяли, чтобы решить простое уравнение. Первый шаг был в применении теорем о тождественных преобразованиях. Одна из них в общем виде выглядит так (форма записи может меняться в зависимости от издательства):

Теорема о тождественных преобразованиях
Теорема о тождественных преобразованиях

В переводе на человеческий язык она прозвучала бы так:

Теорема 1.
Если к обеим частям равенства прибавить одно и то же число, то корни уравнения не изменятся.

Справедливо и обратное (прозвучит непривычно, но иначе сказать трудно): если в обеих частях равенства убрать сумму с одним и тем же числом, то корни уравнения не поменяются. Есть и ещё такие теоремы, их много. Одна нам понадобится, я её не буду в виде формулы писать, просто скажу словами

Теорема 2.
Применение определений арифметических действий (выполнение действий) не изменит корней уравнения.

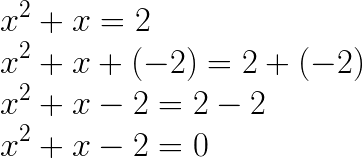
Посмотрим теперь, как эти теоремки сработают в реальной жизни:

Применение теорем о тождественных преобразованиях к уравнению. СПОЙЛЕР: в последней строке квадратное уравнение, D=9, корни 1 и -2
Применение теорем о тождественных преобразованиях к уравнению. СПОЙЛЕР: в последней строке квадратное уравнение, D=9, корни 1 и -2

В качестве константы C в теореме 1 при переходе от первой строчки ко второй использовалось число (-2) Затем "раскрылись скобки" (что тоже - суть определение сложения с отрицательными числами), а потом - теорема 2 - выполнилось вычитание (определение действия). Можно было пользоваться другими вещами, например, определением противоположного числа.

А давайте теперь выкинем отсюда теоремы. Это же автор из мухи слона делает и мозги пудрит! И определения действий туда же. Тогда, кстати, вторая и третья строчки потеряют смысл, и их тоже смело можно выкидывать. Вот что получим:

Выкинули "лишнее"
Выкинули "лишнее"

Как можно объяснить замену одного уравнения на совсем другое? Просто "перебросили 2ку через равно, поменяв знак". Так же проще! Куда как проще! И теорем не надо учить. И писать куда меньше. А самое главное - легче объяснить, потому что не придётся сложно учить применять теоремы/формулы вообще

И учитель в школе встаёт перед выбором:

  1. Рассказывать сложно о простом
  2. Рассказывать просто о сложном.

Большинство учителей выбирают второй вариант. Рассказать "просто". Чтобы все поняли, даже самые-самые. Чтобы сильно не напрягаться, втолковывая теоремы. А то вдруг придётся ещё учить применять теоремы! "Это - туда, а то - сюда". Вот и всё, вот и учат "просто". А те, кто выучили это самое "просто" лучше других, те идут в педвуз, а потом становятся учителями "математики" сами, и идут обратно в школу и там несут в массы разумное, доброе, простое. Для них уже теоремы - это бред, бессмысленное усложнение. Теперь, ведь, не рассказывают на уроках такие вещи.

А где же здесь иллюзии? Дак вот же они! Теперь ученик думает, что математика - это перекидывание двоек через равно, снесение цифр при делении и прочее. А как же теоремы? А их нет. Для них нет места в "математике", в которой лошади кивают или качают головами, соглашаясь поменять знак или запрещая это дело. Теоремы за бортом. В лучшем случае, в геометрии. И нужны там исключительно для того, чтобы "доказать" их.

В качестве заключения

Поскольку о теоремах и определениях не говорится вслух, дети сами придумывают их себе. И возникает, например, такое "определение": сокращение - суть зачёркивание одинакового. Вот мы и "сокращаем":

Сократили тройку. Реальная ситуация
Сократили тройку. Реальная ситуация

Основное свойство дроби? Не, не слышали.