Добавить в корзинуПозвонить
Найти в Дзене

Увольнение за прогул в 2019 году. Разбираемся в нюансах

Увольнение за прогул — действие работодателя по отношению к сотруднику при его отсутствии свыше 4-х часов, в случае самостоятельного перехода в режим отпуска или использования отгула не по заявлению без согласования. Процесс расторжения трудового сотрудничества требует выполнения ряда бюрократических действий, начиная с написания объяснительной, заканчивая расчетом работника и выдачей трудовой книжки. Ниже приведем инструкцию по увольнению в случае прогула для 2019 года, рассмотрим законные основания для такой процедуры и распространенные ошибки кадровиков. Общие положения В ТК РФ (ст. 81) дается точное пояснение термина прогула. В Кодексе указывается, что это отсутствие субъекта на месте выполнения трудовых задач всю смену или в течение более 4-х часов. В обоих случаях человек не предоставляет вразумительных пояснений. Четкая формулировка исключает интерпретации. Работники, которые не знают норм законодательств, часто попадают под «удар» в виде увольнения по приказу. Квалификационны
Оглавление

Увольнение за прогул — действие работодателя по отношению к сотруднику при его отсутствии свыше 4-х часов, в случае самостоятельного перехода в режим отпуска или использования отгула не по заявлению без согласования. Процесс расторжения трудового сотрудничества требует выполнения ряда бюрократических действий, начиная с написания объяснительной, заканчивая расчетом работника и выдачей трудовой книжки. Ниже приведем инструкцию по увольнению в случае прогула для 2019 года, рассмотрим законные основания для такой процедуры и распространенные ошибки кадровиков.

Общие положения

В ТК РФ (ст. 81) дается точное пояснение термина прогула. В Кодексе указывается, что это отсутствие субъекта на месте выполнения трудовых задач всю смену или в течение более 4-х часов. В обоих случаях человек не предоставляет вразумительных пояснений. Четкая формулировка исключает интерпретации. Работники, которые не знают норм законодательств, часто попадают под «удар» в виде увольнения по приказу.

Квалификационные признаки нарушения:

  • человека нет на рабочем месте больше 4-х часов.
  • прогульщик не предоставил официальное подтверждение причин прогула.
  • проступок произошел в последние 30 дней.
Задача работодателя в том, чтобы доказать факт отсутствия на месте работы, установить точное время и получить объяснение по прогулу. Начальник должен разобраться, пришел ли сотрудник на работу или ушел в любой из периодов.

Как считается время

Термин «отсутствие на месте» можно расшифровать, если глянуть в инструкцию или договор между сотрудником и работодателем. В них указано, где должен находиться человек в определенный временной промежуток. Если сотрудник обязан быть за рабочим столом, прогулом считается период с момента выхода из кабинета до возвращения.  При отсутствии точных сведений отчет начинается с момента выхода человека за территорию предприятия.

По закону время прогула начинается с четырех часов и более. Если сотрудник отсутствовал меньше установленного срока, привлечь его к дисциплинарной ответственности (уволить) нельзя. Но руководитель вправе оформить выговор или лишить премии. Некоторые работники знают о такой «лазейке» и эффективно ей пользуются.

При расчете времени прогула не учитывается обеденный период. Так, если человек ушел в 10.00, а явился в 14.05, это не считается поводом для увольнения, ведь с 12.00 до 13.00 в компании перерыв. Следовательно, работника не было на месте только 3 ч. 05 минут.

Работодателю разрешено объединять время прогулов, но только, если речь идет о смене (дне). Сотрудник подлежит дисциплинарному взысканию, если он не был на работе в такие промежутки:

  • 30 минут с 8.00 до 8.30
  • 1,5 часа с 10.00 до 11.30
  • 2,5 часа с 14.00 до 16.30

В сумме получается, что сотрудник прогулял 4,5 часа в течение смены, а работодатель вправе оформить приказ для увольнения.

Что считается уважительной причиной

Некоторые прогульщики уверяют начальника, что пропустили смену по уважительной причине. Задача работодателя — получить объяснительную и определить, можно верить оправданиям или нет. Ситуация осложняется тем фактом, что в законе отсутствует список уважительных причин, поэтому по умолчанию к таким относятся ситуации, не зависящие от сотрудника.

Человека не наказывают в следующих случаях:

  • болезнь собственная или родни
  • гибель родственника
  • ДТП
  • авария дома (потоп, пожар и т. д.)
  • прочий форс-мажор

Уважительная причина фиксируется в документах и подтверждается свидетелями. Если субъект поставил в известность начальника, это не относится к прогулу. В ситуации, когда дело доходит до разбирательств, необходимо письменное разрешение. Доказать устное одобрение почти невозможно.

Пошаговая инструкция по увольнению за прогул

Чтобы понять тонкости дисциплинарного взыскания, рассмотрим алгоритм официального увольнения.

Подтверждение факта нарушения

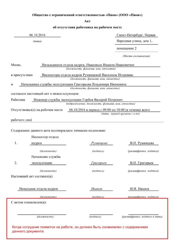
Невыход субъекта еще не свидетельствует о нарушении с его стороны. Начальник должен закрепить документально отсутствие человека и попробовать связываться с ним для получения пояснений. Возможно, сотрудник заболел и пошел в больницу за справкой. В любом случае оформляется акт о прогуле по специальной форме с указанием:

  • название фирмы и время.
  • ФИО и должности руководителя с подчиненным.
  • подтверждение того факта, что человека нет на работе.

По действующим правилам в день, когда человек не вышел, составляется три акта — в момент выявления нарушения, через четыре часа и по завершении смены. Если прогульщик не вышел и в последующие дни, каждые сутки составляется по одному документу.  В момент выхода сотрудник обязан оформить объяснительную и передать ее руководителю.

-2

Пояснение причин

Увольнение за прогул должно быть обоснованным, поэтому за работником остается право пояснить свою позицию и причину отсутствия. Применение дисциплинарного взыскания без принятия этой меры считается грубым нарушением законодательства. Объяснительная оформляется письменно с указанием причины. По закону на оформление бумаги дается 48 часов. Если по завершении этого периода объяснительная не была передана начальству, оформляется акт.

До рассмотрения ситуации в учетном табеле напротив графы прогульщика ставится пометка НН, что означает неявку по непонятным причинам. После изучения объяснительной руководитель решает, ставить прогул или нет.

Принятие решения

Работодатель изучает указанную причину и определяет, насколько она уважительна. Свою оценку начальник излагает в служебной записке, где указывает принятое решение:

  • нарушение сотрудником требований закона и отсутствие уважительной причины.
  • объяснение удовлетворило начальника, он считается прогул уважительным.

Если человек виноват, в документе прописываются предложения по его наказанию, начиная с предупреждения, заканчивая увольнением с работы. Служебная записка передается гендиректору для подписания.

-3

Гендиректор определяется по дальнейшим действиям:

  • согласиться с предложением непосредственного начальника.
  • усилить или ослабить меру наказания.

Как правило, высшее руководство соглашается с интерпретацией подчиненного ему руководителя. После принятия решения на документе ставится решение, к примеру, «Одобряю», «Увольнение заменить лишением премии» и т. д.

Оформление приказа и ознакомление сотрудника

Следующий этап — официальное оформление приказа с требованием увольнения за прогул. При оформлении используется форма Т8. В документе указывается название предприятия, дата прекращения действия трудового соглашения, данные и должность прогульщика. Ниже пишется ссылка на статью закона (ст. 81 ТК РФ), ФИО, ставятся автографы руководителя и работника.

После составления приказа сотрудник информируется об официальном увольнении за прогул или другом наказании (если оно было применено). Если прогульщик не ставит подпись в документе, оформляется акт. Рядом должны находиться свидетели (минимум два человека).

-4

Расчет и выдача трудовой

После выпуска приказа работодатель рассчитывает сотрудника. Подготовкой необходимых бумаг занимается бухгалтерия предприятия. При увольнении человек получает:

  • зарплату за время, которое он проработал с момента последней выплаты.
  • премию (если предусмотрена).
  • компенсационные платежи за неиспользованные дни отпуска.

Выплаты осуществляются в последние сутки. Вместе с деньгами сотрудник получает документы.

В трудовой делается пометка об увольнения по ст. 81 ТК РФ (ч. 1, п. 6). За получение бумаги сотрудник расписывается в специальном журнале. В случае отказа оформляется акт (привлекается два свидетеля).

-5

Отдельные случаи

В трудовой практике встречаются случаи увольнения особой сложности. Они касаются таких обстоятельств:

  • Больничный. При официальном уходе на больничный человека нельзя увольнять. Если работодатель поспешил и избавился от работника, а тот пришел и передал справку, его обязаны восстановить в должности. Исключением считаются случаи, когда сотрудник скрыл факт болезни и не рассказал руководителю о наличии подтверждающего документа. В таком случае суд может стать на сторону работодателя. Для восстановления работник должен доказать, что начальник был проинформирован о сложившейся ситуации.
  • Беременность. Работодателям часто не хочется возиться с беременными женщинами. Но по ТК РФ (ст. 361) увольнение женщины в положении возможно только при ликвидации предприятия. Увольнение по дисциплинарным причинам возможно при нарушении требований статьи 336 ТК РФ.

Ошибки работников отдела кадров и руководства

При увольнении за прогул часто обнаруживаются недоработки кадровиков. Они проводят операции без необходимого пакета бумаг, ошибаются в датах, задерживают оформление актов и т. д.

Иногда увольнение признается незаконным:

  • работник не оформлял объяснительную.
  • нарушен процесс увольнения за прогул.
  • отсутствуют документы, подтверждающие факт увольнения.
  • в роли пострадавшей стороны выступает беременная.
  • прогул был вынужденным (длительное отсутствие зарплаты).

При любом из нарушений сотрудник вправе подать исковое заявление в суд и требовать восстановления в должности.

Итоги

Увольнение за прогул — процесс, требующий прохождения всех этапов. Невыполнение указанных требований влечет за собой ответственность для начальства. Так, увольнение беременной без оснований чревато штрафом до 200 т. р. или обязательными работами до 360 часов. В свою очередь, работники должны знать, что за прогул более четырех часов их ожидает увольнение.

Юридическая помощь при увольнении за прогул доступна на сайте:

Статья на нашем сайте: Увольнение за прогул в 2019 году. Подробный разбор!

------------------------------------------------------------------------------------------------Подписывайтесь на наш канал "Федзакон", ставьте лайки и пишите, что вы думаете по этому поводу.

Если Вам нужна юридическая помощь, консультация специалистов, заходи к нам на сайт, мы обязательно поможем.

Делитесь информацией с друзьями в социальных сетях. А также подписывайтесь на наши соц. сети (ссылки в профиле)