Найти в Дзене

Как вычислить значение числа π

В сериале "Star Trek" 1966 года, есть серия, в которой в бортовой компьютер «Энтерпрайз» проникает злоумышленник. Чтобы он не мог навредить команде мистер Спок поручает компьютеру заняться одной из математических задач, не имеющих решения. Красота в простоте. Он выбирает вычисление числа π. Как известно это иррациональное, трансцендентное число, а значит количество знаков после запятой у него бесконечно, как следствие вычисление всех цифр займёт бесконечное количество времени. Но как вообще компьютер или человек может решать такую задачу? Исходя из определения числа π, существует практический способ его нахождения. Возьмите любой предмет круглой формы, с помощью веревки измерьте длину его окружности, а затем разделите на диаметр. Вы получите весьма приблизительное значение числа π. Можно попробовать повысить точность, проведя несколько измерений и затем посчитать среднее арифметическое. По идее, это должно минимизировать ошибку. Готовая практическая работа по геометрии, бери и пользуй

В сериале "Star Trek" 1966 года, есть серия, в которой в бортовой компьютер «Энтерпрайз» проникает злоумышленник. Чтобы он не мог навредить команде мистер Спок поручает компьютеру заняться одной из математических задач, не имеющих решения. Красота в простоте. Он выбирает вычисление числа π. Как известно это иррациональное, трансцендентное число, а значит количество знаков после запятой у него бесконечно, как следствие вычисление всех цифр займёт бесконечное количество времени.

Но как вообще компьютер или человек может решать такую задачу?

Исходя из определения числа π, существует практический способ его нахождения. Возьмите любой предмет круглой формы, с помощью веревки измерьте длину его окружности, а затем разделите на диаметр. Вы получите весьма приблизительное значение числа π. Можно попробовать повысить точность, проведя несколько измерений и затем посчитать среднее арифметическое. По идее, это должно минимизировать ошибку. Готовая практическая работа по геометрии, бери и пользуйся.

Если удастся получить значение 3,1, это уже успех. Для бытовых нужд должно хватить. Например, если требуется узнать длину изгороди для круглого газона. Но есть задачи, в которых требуется гораздо большая точность. Возможно, некоторым подойдет использование дроби 22/7, в десятичном виде она даёт два знака точности (3,14). Но мы хотим большего.

И здесь нас ждёт огромное богатство выбора. Есть алгоритмы, придуманные в Китае в 3 в н.э., основанные на геометрическом подходе. Длина окружности лежит между периметром вписанного и периметром описанного многоугольника. Увеличивая количество углов, можно получить значение числа π с любой точностью.

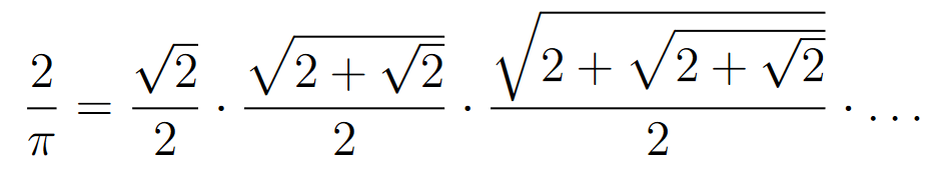
Но гораздо проще и приятней, особенно если мы хотим написать компьютерную программу, считать число π с использованием рядов, сумма которых даёт приблизительное значение числа π с любой точностью. Например, формула Виета, отрытая им в 16 веке:

-2

Она основана на разложении синуса половинного угла в ряд.

Формула Лейбница, которая была известна задолго до него и носит также имя Мадхавы.

-3

Довольно простая, но ряд сходится медленно. Чтобы получить хоть сколько-нибудь приличное количество знаков, приходится складывать буквально тысячи слагаемых.

Несмотря на то, что достаточно большое количество учёных занимались поиском подходящего ряда, лишь в начале 20 века была найдена формула сходящаяся достаточно быстро. Такой является формула Рамануджана:

-4

С помощью неё, можно на любом компьютере вычислить любое количество знаков числа π. И попробовать убедится в следующем любопытном факте. Так как число π содержит бесконечное количество цифр, значит она содержит все возможные числовые последовательности. Например, дату рождения человека, или значимое историческое событие. Попахивает теорией заговора, не находите?