Добавить в корзинуПозвонить
Найти в Дзене
Математика не для всех

Задача о зубчатых шестеренках, которую решает "чистая" математика

Приветствую Вас, уважаемые Читатели! Очень часто "чистую" математику обвиняют во всех бедах человечества, мол, "она не нужна, одна фантазия и полеты в облаках". Сегодня хочу Вам привести привести пример конкретного практического расчета, использующего бесконечные цепные дроби. Поехали!

Итальянский математик Рафаэль Бомбелли - один из основоположников теории цепных дробей. Источник: https://alchetron.com/cdn/rafael-bombelli-15f715e5-dbd4-4b37-a130-9b79f79837b-resize-750.gif
Итальянский математик Рафаэль Бомбелли - один из основоположников теории цепных дробей. Источник: https://alchetron.com/cdn/rafael-bombelli-15f715e5-dbd4-4b37-a130-9b79f79837b-resize-750.gif

Пусть перед нами стоит задача спроектировать зубчатую передачу, состоящую из двух шестеренок с коэффициентом передачи, равным √2 = 1,4142... Что же делать? Если взять количество зубьев 14 и 10, то получим 1,4. Но если нам нужна большая точность? Что нам, делать 14142 и 10000 зубьев соответственно? А ведь рост количества ведет к уменьшению размеров и потере прочности!

Вот здесь на помощь и приходят бесконечные цепные дроби!

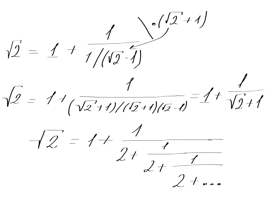
Любое число мы можем представить виде целой части и остатка. Не исключением является и √2. Его целая часть 1, а остаток √2-1. Запишем этот факт, обратив остаток:

Домножили на сопряженное число. применили формулу разности квадратов.
Домножили на сопряженное число. применили формулу разности квадратов.

Вот мы и получили ключ к решению нашей задачи: вычисляя уже 5-ую по счету дробь мы получим приближение, конкурирующее с 14142/10000:

-3

Точность та же, а количество шестеренок (99 и 70) почти в 150 раз меньше! Вот Вам и оптимизация с помощью "чистой математики". Спасибо за прочтение! Читайте, почему √2 - одно из самых важных чисел в истории.

Ставьте лайк и подписывайтесь! ! ССЫЛКА НА ДЗЕН-КАНАЛ и TELEGRAM.