Добавить в корзинуПозвонить
Найти в Дзене
ОГЭ математика

Задание 20. ОГЭ. А может быть и СИСТЕМА уравнений. Смотри как решать.

В задании 20 вам могут предложить решить уравнение, неравенство, преобразовать выражение или решить систему уравнений.
Сегодня остановимся на системе.
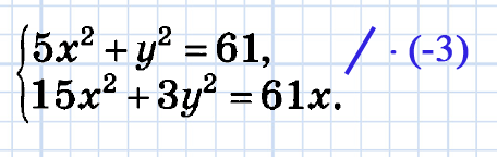
Не очень сложная система:
Метод подстановки для решения этой системы не самый удачный способ решения. Будем использовать метод сложения. Его смысл состоит в том, чтобы исключить одну неизвестную при сложении двух уравнений системы. При этом любое
Оглавление

В задании 20 вам могут предложить решить уравнение, неравенство, преобразовать выражение или решить систему уравнений.

Сегодня остановимся на системе.

Не очень сложная система:

Метод подстановки для решения этой системы не самый удачный способ решения. Будем использовать метод сложения. Его смысл состоит в том, чтобы исключить одну неизвестную при сложении двух уравнений системы. При этом любое уравнение можно домножить на любой число (и левую, и правую часть) и получить эквивалентное уравнение. Заметим, если первое уравнение домножить на (-3), то получим "У в квадрате" с числовым коэффициентом (-3). После сложения двух уравнений "У" уйдет.

-2
-3

Бонусом еще и получили, что при "х в квадрате" числовые коэффициенты противоположные числа. Так что и они при сложении двух уравнений уйдут.

-4

Решаем линейное уравнение: -183+61х=0

-5

Нашли только Х, теперь найдем У. Для этого подставляем в ЛЮБОЕ из уравнений (желательно самое простое с наименьшими числовыми коэффициентами) найденный Х и получаем новую эквивалентную систему:

-6
-7
-8
-9

Первое уравнение системы является квадратным и имеет ДВА решения. Поэтому система распадается на две системы:

-10

Таким образом нашли все пары Х и У. Остается только правильно записать ответ в виде координат (х;у). На первом месте Х, на втором месте У!

-11

Если вы знаете того, кто готовится к ОГЭ не забудьте поделиться с ним этой информацией. Всегда пригодится.

Продолжение следует...

Не забудь нажать на пальчик вверх после прочтения и подписаться. За это отдельная благодарность

(✿◠‿◠)

-12