Найти в Дзене
Хоум Сапиенс

Какой прочности должны быть газобетонные блоки?

... для строительства 1...3-этажных домов

"Для одноэтажных сооружений подойдут газобетонные блоки марки D400 и прочностью B2,0.

Для двухэтажных – газобетонные блоки D500 и прочностью >В2,5.

Для строительства трехэтажных зданий подойдут газоблоки D600 и маркой прочности не менее В3,5."

- примерно такие рекомендации можно повстречать на просторах интернета, и, как и многое в интернете, они являются враньем чрезмерно поспешными и обобщающими выводами.

Основное силовое воздействие на стены - это сжатие от собственного веса и опирающихся на эти стены конструкций. Какие факторы влияют на стойкость стен этому воздействию? Здесь очень важно различать:

  • прочность материала блоков
  • прочность (точнее - расчетное сопротивление) кладки из этих блоков
  • несущую способность отдельных участков стен и простенков.

В принципе, для газобетонной кладки на тонком растворе наблюдается прямая зависимость между прочностью блоков и прочностью кладки, но это скорее частный случай. В общем случае прочность каменной кладки зависит и от прочности камней, и от прочности раствора, и от особенностей типа кладки. А у ГБ кладки на клею влияние прочности раствора незначительно.

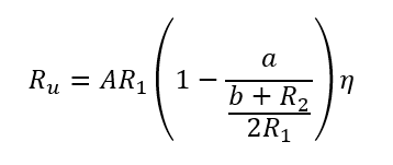
Эмпирическая формула расчета предела прчности различных видов кладок (формула Онищика). R₁ - предел прочности камня; R₂ - предел прочности раствора; А, a, b, 𝜂 –  поправочные коэффициенты, учитывающие различные особенности типа кладки
Эмпирическая формула расчета предела прчности различных видов кладок (формула Онищика). R₁ - предел прочности камня; R₂ - предел прочности раствора; А, a, b, 𝜂 – поправочные коэффициенты, учитывающие различные особенности типа кладки

Но вот разглядеть схожую зависимость между прочностью кладки и несущей спсобностью стены не представляется возможным. Вот формула расчета устойчивости участка кладки при сжатии:

-3

R - это расчетное сопротивление ГБ кладки, которое получается из прочности кладки, деленной на 2,25, а затем зачем-то умноженной еще на 0,8 (и еще на различные коэффициенты условий работы, если они отличаются от неких "стандартных")

А вот остальные множители гораздо более "хитрые", кроме последнего. Для ГБ кладки он всегда равен 1 (у других видов кладок может быть до 1,45). Остальные множители могут по-разному "качнуть" итоговый результат

N - это суммарная нагрузка, действующая на рассчитываемое сечение кладки. И это может быть не только вес "столба" кладки , расположенного над сечением и нагрузок непосредственно приложенных к этому столбу. В случае если рассчитываемое сечение - это простенок между проемами, то этот простенок собирает на себя еще и нагрузку от кладки над проемами и приложенной к ней нагрузки.

Схема сбора нагрузок на простенок
Схема сбора нагрузок на простенок

mg - это нелинейный коэффициент влияния длительной нагрузки,а также неравномерности ее приложения, может составлять от примерно 0,5 до 1

Ас - это площадь сжатой части сечения. Так как нагрузки в реальности редко когда оказываются приложенными равномерно, то суммарная нагрузка N не оказывается приложенной к центру тяжести сечения. Поэтому в качестве Ас принимают только часть общей площади сечения кладки c N в центре. Понятно, что чем дальше N от центра тяжести сечения (это расстояние называется эксцентриситет), тем меньше получается Ас.

Нахождение сжатой части сечения при внецентренной нагрузкае на столб кладки
Нахождение сжатой части сечения при внецентренной нагрузкае на столб кладки

φ₁ - это коэффициент, учитывающий вредное влияние продольного изгиба (может составлять от 0 до 1). Попробуйте сжать линейку, нажимая на торцы. Она начнет изгибаться и если будете продолжать давить, то она сломается не от сжатия, а от изгиба. Нечто похожее, но в иных масштабах происходит и с кладкой. Коэффициент продольного изгиба зависит геометрических параметров кладки, но также от габаритов сжатой части сечения и расположения рассчитываемого сечения по высоте стены.

Таким образом, механическая надежность участка стены при сжатии является нелинейной функцией, зависящей от множества параметров, не только от прочности кладки. Попробуем найти положительное и отрицательное влияние этих параметров на характерные участки ГБ стен 1...3 этажных домов.

1. Самонесущие наружные стены.

Имеются в виду стены, перевязанные с несущими и формирующие с ними пространственную "коробку" дома, но на которые [практически] не опираются перекрытия и покрытие . Они фактически несут нагрузку только от собственного веса, который небольшой, при этом суммарная нагрузка приложена в центре - то есть Ас практически равна всей площади сечения. Зато от наружных стен требуются высокие теплотехнические характеристики, которые достигаются уменьшением плотности (а с ней - и прочности кладки) и увеличением толщины.

Если же посмотрим как это все влияет на формулу расчета несущей способности, то увидим :

А - общая площадь сечения
А - общая площадь сечения

При таких условиях влияние R и не очень важно. Поэтому для таких стен вполне допустимы стены из блоков с минимальной для конструкционных бетонов классом прочности.

2. Несущие наружные стены верхнего этажа (или первого этажа одноэтажных зданий)

Здесь уже возрастает нагрузка за счет перекрытий, а если рассматриваем простенок между двумя широкими проемами - то возрастает многократно. При этом нагрузка от перекрытий прикладывается с большим эксцентриситетом, из-за чего уменьшается Ас. Если перекрытие начинает давить с самого края стены, то при заделке перекрытия глубиной 20 см площадь сжатой части сечения участка стены толщиной 50 см составит только 28% от общей площади сечения. Собственно, в этом случае отсутствует влияние толщины стены на площадь Ас, однако оно проявляется при вычислении φ₁. При достаточно толстых стенах φ₁ может оказаться не намного меньше единицы.

Также при большом эксцентриситете требуется дополнительная расчетная проверка по раскрытию швов кладки.

Если привести все параметры формулы в гармонию (не злоупотреблять большими проемами и узкими простенками, а также стараться уменьшать эксцентриситет приложения нагрузки от перекрытия), то вполне можно обойтись стенами из блоков низкой плотности. Если же указанные мероприятия по каким-то причинам выполнить не удается, то в худшем случае не помогут даже блоки B5, и придется применять локальное усиление, например бетоном или кирпичной кладкой с утеплением.

Усиление узких простенков железобетоном (из альбома YTONG)
Усиление узких простенков железобетоном (из альбома YTONG)

3. Несущие наружные стены под другими стенами.

Здесь вроде бы возрастает нагрузка, но это, как ни странно, может являться положительным фактором, потому что нагрузка от вышележащих стен, включая нагрузку от перекрытий, давящих на эти стены прикладывается в центре тяжести рассчитываемой стены. То есть, суммарный эксцентриситет приложения нагрузки уменьшается едва ли не вполовину, а, значит, увеличивается Ас. В вышеописаном примере Ас составит уже 60-65% от общей площади счения. То есть "при прочих равных" нижележащая стена может оказаться раза в 2 надежнее.

Таким образом, и для несущих наружных стен нижних этажей также возможно применить блоки низкой плотности.

4. Несущие внутренние стены.

Как правило, они нагружаются перекрытиями с двух сторон и вроде бы являются самыми нагруженными, но суммарный эксцентриситет оказывается небольшим (при примерно равных пролетах перекрытий, приходящих с обеих сторон).

Здесь также можно применить блоки низкой плотности, компенсируя их низкую прочность толщиной стены. Но для экономии площади помещений целесообразно наоборот, уменьшить толщину и применить более плотные блоки, вплоть до силикатных блоков, так как здесь уже о теплотехнике беспокоиться не надо.

Таким образом получается, что однозначного ответа на вопрос относительно требуемой прочности блоков по одному параметру "этажность" дать просто невозможно, и процесс подбора превращается в весьма творческую задачу. Прочность блоков важный, но далеко не единственный фактор для оценки прочности стен, и в большей степени на несущую способность стен влияет неравномерность (внецентренность) приложения нагрузки. При грамотном конструировании даже для двухэтажных домов с железобетонными перекрытиями можно применить блоки низкой плотности, чья относительно низкая прочность может быть компенсирована толщиной стен. При этом комбинация толстых стен и низкой плотности значительно улучшает теплотехнические характеристики здания.