Добавить в корзинуПозвонить
Найти в Дзене

Единичная функция Хевисайда и дельта-функция Дирака.

В подавляющем большинстве задач сопромата приходится сталкиваться с резко меняющимися параметрами: сосредоточенными силами, моментами, врезанными шарнирами, либо ступенчато меняющейся жесткостью, внешней распределенной нагрузкой которая распределена на определенном участке. В стандартном математическом арсенале функции, к сожалению, нет таких функции которые могли описывать ступенчато меняющиеся зависимости и для решения краевых задач сопромата приходится составлять системы дифференциальных уравнений на каждом участке, где не происходит резких изменений (скачков, разрывов). Это не удобно, приходится производить много вычислений и составлять условия стыковок на каждом участке. Чтобы избавиться от всех этих проблем и записать одно единое уравнение для краевой задачи, приходят на помощь, так называемые "специальные" функции. В нашем случае их две: Данные функции очень удобны для записи единого уравнения и единых функции (усилий, перемещений). Используя данные функции можно решать довол

В подавляющем большинстве задач сопромата приходится сталкиваться с резко меняющимися параметрами: сосредоточенными силами, моментами, врезанными шарнирами, либо ступенчато меняющейся жесткостью, внешней распределенной нагрузкой которая распределена на определенном участке.

В стандартном математическом арсенале функции, к сожалению, нет таких функции которые могли описывать ступенчато меняющиеся зависимости и для решения краевых задач сопромата приходится составлять системы дифференциальных уравнений на каждом участке, где не происходит резких изменений (скачков, разрывов). Это не удобно, приходится производить много вычислений и составлять условия стыковок на каждом участке.

Чтобы избавиться от всех этих проблем и записать одно единое уравнение для краевой задачи, приходят на помощь, так называемые "специальные" функции.

В нашем случае их две:

  1. единичная функция Хевисайда - она описывает ступенчато меняющиеся зависимости, такие как: распределенная нагрузка (к примеру, она начинается в начале балки и обрывается в середине пролета), переменная жесткость;
  2. дельта-функция Дирака - она описывает сосредоточенные величины, такие как: сосредоточенная сила, сосредоточенный момент, врезанный шарнир.

Данные функции очень удобны для записи единого уравнения и единых функции (усилий, перемещений). Используя данные функции можно решать довольно сложные задачи, такие как: расчет пластин поддерживаемые колоннами в каких-то определенных точках.

А теперь немного разберем данные функции по подробней.

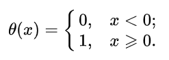
Единичная функция Хевисайда - определена она следующим образом:

Определение функции
Определение функции

А вид функции выглядит следующим образом:

Вид функции Хевисайда
Вид функции Хевисайда

Функция равна нулю при отрицательном аргументе и равна единице при положительном аргументе, в нуле функция равна единице.

Данную функцию можно получить применяя предельный переход от непрерывной функции.

Предельный переход к единичной функции Хевисайда
Предельный переход к единичной функции Хевисайда

Данную функцию можно обобщить и на функции с несколькью переменными, вот к примеру единичная функция зависящая от двух переменных.

Единичная функция двух переменных
Единичная функция двух переменных
-5

На википедий можно почитать более подробно, перейдя по ссылке.

Дельта-функция Дирака - определена она следующим образом:

Определение Дельта-функции
Определение Дельта-функции

То есть при всех значениях аргумента данная функция равна нулю и только в одной, конкретной, точке равна бесконечности, а несобственный интеграл равен единице. Также вы могли заметить (читая выше), что дельта-функция, является, первой производной от единичной функции Хевисайда.

График, по сути, лишен смысла, но можно схематично изобразить как прямую устремленную в бесконечность.

Схематичный график дельта-функции
Схематичный график дельта-функции

Отметим пару интересных свойство данной функции:

-8

Несобственный интеграл от произведения непрерывной функции на дельта функцию равен значению непрерывной функции в точке x0 (где дельта-функция имеет бесконечное значение).

Производные от дельта-функции также почти всюду равны нулю и обращаются в плюс / минус бесконечность при x = 0.

Заранее могу сказать, что если вы решаете краевую задачу изгиба балки относительно прогиба, то первая производная от дельта-функции соответствует сосредоточенному изгибающему моменту, а вторая производная от дельта-функции соответствует врезанному шарниру.

Также Дельта-функцию можно обобщить и на функции с несколькью переменными, к примеру, практическое применение Дельта-функции с двумя переменными может быть в задачах на расчет пластин.

На википедий можно почитать более подробно, перейдя по ссылке.

В заключение можете посмотреть моё короткое видео на данную тему