Найти в Дзене
Coracero

Мобилизационный план МП-41. Июнь 1941-го года и наши заблуждения.

У рассмотрения решений принятых в прошлом есть одна особенность*, неотделимая, по своей сути, от понятия «прошлого». Мы уже знаем, чем всё закончилось - это знание может быть искажено, неполно, даже полностью подменено, но оно есть. Проблема в том, что, увлекшись послезнанием, легко пропустить тот момент, когда начинаешь путать решения, которые мы считаем правильными и решения, которые считали правильными те, кто их принимал в прошлом. Таким образом можно оправдывать принятые в прошлом решения знанием из будущего, обвинять в их принятии или разоблачать скрытые мотивы. Проблема в том, что все эти решения принимались также в прошлом, без знания их последствий. Мобплан № 23 Мобилизационный план на 1940-й год, в связи с неоднократным изменением границ самого СССР, состава граничащих с ним государств, а также продолжающихся реорганизаций Красной Армии, так и не был принят. Совет Народных Комиссаров СССР остановил его разработку уже в августе 1940-го года и постановил начать разраб
Оглавление

У рассмотрения решений принятых в прошлом есть одна особенность*, неотделимая, по своей сути, от понятия «прошлого». Мы уже знаем, чем всё закончилось - это знание может быть искажено, неполно, даже полностью подменено, но оно есть.

  • Чаще всего, для описания этой особенности используется термин «послезнание»

Проблема в том, что, увлекшись послезнанием, легко пропустить тот момент, когда начинаешь путать решения, которые мы считаем правильными и решения, которые считали правильными те, кто их принимал в прошлом.

Таким образом можно оправдывать принятые в прошлом решения знанием из будущего, обвинять в их принятии или разоблачать скрытые мотивы. Проблема в том, что все эти решения принимались также в прошлом, без знания их последствий.

  • в комментариях меня упрекают в том, что я не делаю глобальных выводов, не называю главных причин и не вывожу обвинений
  • всё это сделать вы можете и сами, мне интереснее найти и показать обоснования решений, взаимосвязи причин и мотивы сторон

Мобплан № 23

Мобилизационный план на 1940-й год, в связи с неоднократным изменением границ самого СССР, состава граничащих с ним государств, а также продолжающихся реорганизаций Красной Армии, так и не был принят. Совет Народных Комиссаров СССР остановил его разработку уже в августе 1940-го года и постановил начать разработку плана на следующий — 1941-й год.

В феврале 1941-го новый план был готов. Хотя нам он известен как МП-41, фактически, мобилизационный план для Красной Армии имел номер 23, а для гражданских наркоматов номер 9.

Особенностью мобпланов СССР было то, что принимались они не на один год. Например, в 1939-м году, при мобилизации Красной Армии перед вторжением в Польшу и в ходе Зимней войны, использовались документы разработанные в 1937-м году. Соответственно, МП-41 должен был стать мобпланом не только на год принятия, но и на ближайшую перспективу.

В пояснительной записке к мобилизационному плану приведены наличие вооружений и других средств и ожидаемые объёмы их производства:

в последней графе в колонке "всего грузовых и специальных" опечатка - всего грузовых автомобилей в народном хозяйстве, на конец 1940-го года, имелось 530 тыс штук. Здесь и далее таблицы взяты из указанной выше "записки".
в последней графе в колонке "всего грузовых и специальных" опечатка - всего грузовых автомобилей в народном хозяйстве, на конец 1940-го года, имелось 530 тыс штук. Здесь и далее таблицы взяты из указанной выше "записки".

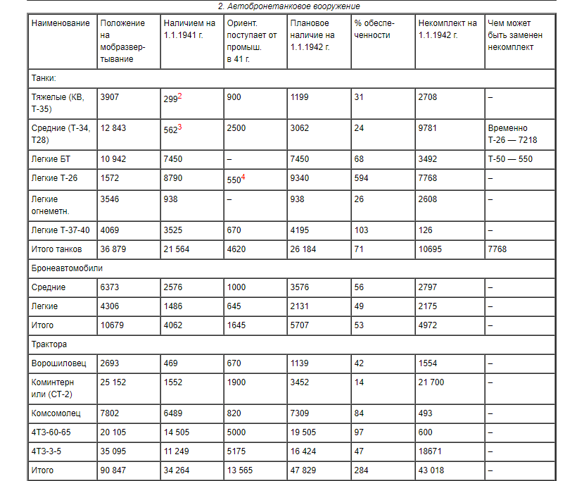
Вопреки распространённому мнению, советские военные не ожидали получить от промышленности 10-12 тыс средних танков (из расчёта по сравнению потребностей МП-41 и фактического количества танков) за один только 1941-й год, их производство ожидалось к началу 1942-го года равным 2500 единиц, что более реалистично, а дефицит планировалось восполнить за счёт использования в войсках Т-26, дефицит танков БТ частично восполнялся за счёт планировавшегося выпуска Т-50, но по многим позициям в бронетанковых войсках, включая тяжёлые танки, оставался запланированный значительный дефицит:

таблица обрезана, далее указана потребность автобронетанковых войск в автомобильной и специальной технике. Опечатка: трактора - ЧТЗ и СТЗ, а не 4ТЗ.
таблица обрезана, далее указана потребность автобронетанковых войск в автомобильной и специальной технике. Опечатка: трактора - ЧТЗ и СТЗ, а не 4ТЗ.

Также нужно отметить, что несмотря на использование в войсках танков БТ и Т-26 вплоть до 1942-го года, а, скорее всего, и дольше, заводы их производившие, переходя на новую продукцию останавливали выпуск запчастей к прежней, что, в перспективе, вело к ещё большему фактическому дефициту.

Некомплект стрелкового вооружения к началу 1942-го года ожидался незначительным, кроме зенитных пулемётов и пистолетов-пулемётов, но если ПП могли заменяться в войсках обычными винтовками, то крупнокалиберные пулемёты ДШК, выпуск которых только разворачивался и не успевал за потребностями МП-41, заменять было нечем:

в документе стрелковое и артиллерийское вооружение в одной таблице
в документе стрелковое и артиллерийское вооружение в одной таблице

В артиллерии к 1942-му году, даже согласно запланированным объёмам производства, ожидался дефицит зенитных автоматов до 80%, без перспективы их замены, но по остальным категориям планы были вполне исполнимы даже без учёта производства орудий в 1941-м году:

в верхней графе крупнокалиберные миномёты. Опечатка: 155мм зенитные - 85 мм зенитные
в верхней графе крупнокалиберные миномёты. Опечатка: 155мм зенитные - 85 мм зенитные

Таблицы по авиации я не привожу, чтобы не загромождать статью, с переходом на новые типы самолётов в них указываются ожидаемые недоборы по типам, но без сравнения с планами производства за 1941-й.

Средства связи, очевидно, были проблемой. Единственный тип радиотелефонной станции, по которому был полный комплект - это станции РБК для кавалерии, приспособленные для перевозки лошадьми, которые высвободились в ходе сокращения числа кавдивизий. Потребность в радиосвязи не удовлетворялась и за счёт планируемого выпуска за весь 1941-й год, причём некомплект по отдельным типам достигал 40-50%:

из радиостанций, в избытке только аппараты искровой связи. Т-35/СТ-35 и БОДО - печатающие телеграфы. По "Морзе" опечатка - их ожидалось по планам 8503 штуки.
из радиостанций, в избытке только аппараты искровой связи. Т-35/СТ-35 и БОДО - печатающие телеграфы. По "Морзе" опечатка - их ожидалось по планам 8503 штуки.

В пояснительной записке на имя Сталина уделено много внимания ожидаемому дефициту вооружений, техники и оснащения. То есть, её составители вполне осознавали, что их план по состоянию на 1941-й год невыполним.

По личному составу нужно отметить два важных момента в мобилизационном плане:

  1. предусматриваемую возможность мобилизации по отдельным направлениям, хотя разница между общей мобилизацией и мобилизацией только западных округов составляла около миллиона человек и не давала возможности перекрыть названный выше дефицит по материальной части. При полной мобилизации численность КА должна была составить 8,87млн человек, при мобилизации западных округов - 7,85млн чел.
  2. также в планы закладывался дефицит личного состава - командиров и технических специалистов, медиков. Дефицит, частично, должен был восполняться за 1941-й год за счёт выпуска из учебных заведений, повышения младших командиров и призыва из запаса:
следует отметить, что в КА на начало 1941-го уже было много командиров повышенных из рядового и младшего комсостава и их подготовка считалась неудовлетворительной
следует отметить, что в КА на начало 1941-го уже было много командиров повышенных из рядового и младшего комсостава и их подготовка считалась неудовлетворительной

Механизированные войска в МП-41.

Поскольку одним из часто повторяемых заблуждений является мнение о том, что уже в середине 1930-х годов СССР имел ни с чем не сравнимую танковую армаду, а Германия, в то время, производила только лёгкие пулемётные танки.

Нужно прояснить один момент. Большая часть танковой техники в СССР до 1939-го года стояла на вооружении отдельных танковых бригад и нескольких механизированных корпусов*, которые должны были применяться как усиление пехоты, а не для самостоятельных действий.

  • Эксперименты с первыми мехкорпусами показали, что механическое сведение нескольких таких бригад в одно соединение не даёт положительного эффекта и только усложняет взаимодействие пехоты с танками. Не говоря уже о проблемах снабжения таких корпусов, что, как и бригады, не имели своего полноценного тыла.

Проблемой анализа реформ проведённых в Красной Армии в 1939-1941-м годах является как раз упор на численность танковой техники и общие организационные формы, а не на их самостоятельность и возможности.

Мехкорпуса 1940-го года не были эквивалентом мехкорпусов 1930-х годов, равно как и переход к бригадной структуре в конце 1941-го года не был возвратом к начальному состоянию; бригады зимы 1941-го создавались как самостоятельные соединения, со своей пехотой и артиллерией*.

  • в бригадах 1939-го года на 4 танковых батальона приходилось по одному стрелковому и разведывательному (лёгкие плавающие танки, бронеавтомобили, мотострелков всего один взвод), в бригаде конца 1941-го - начала 1942-го был батальон пехоты на два танковых батальона и своя артиллерия.

Численно, в мобилизационных планах 1937-го и 1941-го годов это выглядело так:

увеличилось численность собственных дорожных войск в составе действующей армии, а местные/окружные дорожно-эксплуатационные полки сильно сокращены. В плане на 1938-1939-й годы предусматривалось иметь 4 мехкорпуса и 40 бригад.
увеличилось численность собственных дорожных войск в составе действующей армии, а местные/окружные дорожно-эксплуатационные полки сильно сокращены. В плане на 1938-1939-й годы предусматривалось иметь 4 мехкорпуса и 40 бригад.

Почти шестикратный рост численности механизированных войск по личному составу, в основном за счёт новых соединений включавших значительное число мотострелков.

Практически, мехкорпуса были далеки от своего полного укомплектования, что видно и по этой записке, и по их состоянию на 22-е июня 1941-го года, но даже с неполным комплектованием они были огромным шагом вперёд по сравнению с прежними концепциями танковых войск в СССР.

Ударная группировка Красной Армии?

Для проведения первой операции КА на западном направлении после мобилизации и развёртывания, по оценке Генштаба Красной Армии, изложенной в "Соображениях по плану стратегического развертывания", требовалось 258 дивизий: из них в резерве Главного Командования - 48 дивизий, а в приграничных округах - 210 дивизий, ещё 35 дивизий должны были остаться в дальневосточных и среднеазиатских округах.

Поскольку мобплан был утверждён в феврале, а соображения были представлены советскому правительству в мае, мы вполне можем, сравнить состав войск в мобилизационных планах и последних предвоенных планах развёртывания:

  • 198 сд, 61 тд, 31 мд, 13 кд (всего 303 дивизии, без учёта горно-стрелковых, и 74 артполка РГК) - Соображения Генерального штаба Красной Армии по плану стратегического развертывания Вооруженных Сил Советского Союза на случай войны с Германией и ее союзниками
  • 198 сд, 60 тд, 30 мд, 2мсд, 14 кд и 10 горных сд (314 дивизий, 304 дивизии без учёта горнострелковых, при 72 полках РГК) в МП-41
  • мсд - мотострелковая дивизия, сд - стрелковая, тд - танковая, кд - кавалерийская, мд - моторизованная

Главным отличием между февралём и маем, с учётом реформ КА, стало изменение штата стрелковой дивизии в апреле 1941-го года: с, примерно, 20 тыс человек по штату военного времени, до, примерно, 15 тыс человек по штатам военного времени, что означало сокращение численности стрелковых соединений по штатам военного времени. В остальном же, предполагавшиеся группировки КА почти одинаковы.

  • в комментариях в защиту авторов "простых и понятных" пишут, что их расчёты легко повторить с калькулятором в руках
  • возьмём калькулятор и попробуем "собрать" из войск приграничных округов ударную группировку Жукова, заодно проверив "полноту" мобилизации Красной Армии в приграничных округах.

Теоретически, у нас должно получиться: 136 сд, 44 тд, 23 мд, 7 кд (всего 210 дивизий) - в составе приграничных округов по "Соображениям Генштаба" или 4 млн 253 тыс человек, если исходить из мобилизационных планов.

Практически, взяв статистический сборник №1, мы имеем в западных округах: 97 сд, 6 кд, 40тд и 20 мд (всего 163 дивизии) равно 2 млн 527 тыс человек (с учётом БУС - больших учебных сборов).

Ударная группировка не сложилась, даже если принять поправку на изменившуюся численность стрелковых дивизий (485 тыс чел разницы для 97 стрелковых дивизий), дефицит будет более миллиона человек в составе действующей армии.

Другие статьи на канале:

«Головоломка» Жукова. Мехкорпуса Киевского Особого военного округа. Июнь 1941-го.

Июнь 1941-го и наши заблуждения. Моторизованные корпуса Вермахта - инструмент Блицкрига.

Июнь 1941-го. Мехкорпуса Красной Армии: структура и организация.