Добавить в корзинуПозвонить
Найти в Дзене
Математика не для всех

Что такое пропорция? Объясняет школьная математика. Прочитайте, чтобы не забывать основы

Приветствую Вас, уважаемые Читатели! Сегодня хочу вернуться в среднюю школу и напомнить вам о пропорциях, с которыми у взрослых людей часто возникают сложности при решении бытовых задач. Поехали!

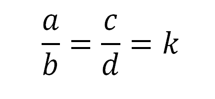
Итак, пропорция - это некое соотношение двух величин. Пропорция называется прямой, если увеличение или уменьшение одной величины влечёт за собой такое же увеличение или уменьшение другой.

k - коэффициент пропорциональности, если он больше 1, значит пропорция прямая, если меньше - обратная. Кстати, такая пропорция называется геометрической.
k - коэффициент пропорциональности, если он больше 1, значит пропорция прямая, если меньше - обратная. Кстати, такая пропорция называется геометрической.

Выражение на рисунке выше читается следующим образом: а относится к b, как с относится к d. Числа a и b принято называть крайними членами пропорции, а c и d - средними.

Средние и крайние члены пропорции можно переставлять местами
Средние и крайние члены пропорции можно переставлять местами

С пропорцией можно делать и другие операции, например обращение :

-3

Часто применяется перемножение членов пропорции крест на крест:

-4

Приведенные выше свойства являются тривиальными, а вот способ составления новой пропорции сложением (вычитанием) из имеющейся даже требует доказательства:

Чтобы вывести это свойство, нужно выразить c из первоначальной пропорции
Чтобы вывести это свойство, нужно выразить c из первоначальной пропорции

Кроме рассмотренной геометрической пропорции в математике определяют арифметическую (вида a-b = c-d) и гармоническую пропорцию, которая возникает в задачах построения золотых сечений:

При b=1 из пропорции получается квадратное уравнение, решением которого является число Фидия - "золотое сечение"
При b=1 из пропорции получается квадратное уравнение, решением которого является число Фидия - "золотое сечение"

Определение пропорции впервые дал еще Евклид в "Началах", а используются они во всех сферах жизни. В кулинарии при расчетах количества ингредиентов, в картографии - при нанесении объектов в соответствующем масштабе, в химии и медицине - при расчетах смесей и дозировок лекарств.

Витрувианский человек - самый известный образец пропорций в искусстве. Источник: https://upload.wikimedia.org/wikipedia/commons/thumb/7/77/0_The_Vitruvian_Man_-_by_Leonardo_da_Vinci.jpg/1038px-0_The_Vitruvian_Man_-_by_Leonardo_da_Vinci.jpg
Витрувианский человек - самый известный образец пропорций в искусстве. Источник: https://upload.wikimedia.org/wikipedia/commons/thumb/7/77/0_The_Vitruvian_Man_-_by_Leonardo_da_Vinci.jpg/1038px-0_The_Vitruvian_Man_-_by_Leonardo_da_Vinci.jpg

Печально, что простые пропорции часто становятся камнем преткновения у взрослых людей. Надеюсь, среди Читателей моего канала таких нет! А если вопросы остались, в одной из следующих статей решим типовые задачи на пропорции, возникающие в повседневной жизни. Спасибо за внимание!

Читайте также:

Мириада - сколько это на самом деле ?
Задача про торт, коробку и бантик
Магический квадрат, чтобы удивить гостей