Добавить в корзинуПозвонить
Найти в Дзене
ЛжеПост

На каком расстоянии глаз человека заметит горящую свечу? 10? 20? 50 километров? Увы, намного меньше...

Давайте пытаться разобраться в оптике и биологии. Угловой размер Разрешающая способность глаза измеряется угловым размером — минимальным углом между предметами (либо от одной до другой границы предмета), который может различить человеческий глаз. Наибольшей остротой зрения считается различение объектов, проекция на сетчатке которых равна одной угловой минуте (1'). Средние значения — 2'-4' (также об этом здесь). Однако, из-за того, что свет от объекта, испускающего свет, может рассеиваться (т.е. визуально увеличиваться), мы видим звёзды и планеты, угловой размер которых меньше одной угловой минуты (до 20 угловых секунд, обозначается 20'', т.е. треть угловой минуты). И что нам это даёт? Имея желаемый угловой размер объекта и его реальный размер, мы можем рассчитать расстояние до него, исходя из следующего соотношения: Выглядит это так: А что тогда получается? Человек с идеальным зрением, способный различить не светящийся объект с угловым размером 1' (либо в данном случае светящийся, с у
Оглавление

Давайте пытаться разобраться в оптике и биологии.

Угловой размер

Разрешающая способность глаза измеряется угловым размером — минимальным углом между предметами (либо от одной до другой границы предмета), который может различить человеческий глаз. Наибольшей остротой зрения считается различение объектов, проекция на сетчатке которых равна одной угловой минуте (1'). Средние значения — 2'-4' (также об этом здесь). Однако, из-за того, что свет от объекта, испускающего свет, может рассеиваться (т.е. визуально увеличиваться), мы видим звёзды и планеты, угловой размер которых меньше одной угловой минуты (до 20 угловых секунд, обозначается 20'', т.е. треть угловой минуты).

И что нам это даёт?

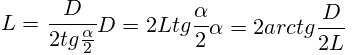
Имея желаемый угловой размер объекта и его реальный размер, мы можем рассчитать расстояние до него, исходя из следующего соотношения:

Соотношения по трём основным величинам
Соотношения по трём основным величинам

Выглядит это так:

D — реальный размер объекта (метры), L — реальное расстояние до объекта (метры), а — угловой размер объекта (градусы), правый угол треугольника — позиция наблюдателя
D — реальный размер объекта (метры), L — реальное расстояние до объекта (метры), а — угловой размер объекта (градусы), правый угол треугольника — позиция наблюдателя

А что тогда получается?

Человек с идеальным зрением, способный различить не светящийся объект с угловым размером 1' (либо в данном случае светящийся, с угловым размером 20''), сможет различить пятисантиметровое пламя свечи с расстояния примерно 515,7 метров. Это примерно в 60 раз меньше, чем указано в изначальном посте.

Для различения не светящегося объекта на расстоянии в 32 километра при превосходной остроте зрения (берём за эталон одну угловую минуту), необходимо, чтобы он составлял порядка 9.3 метров в диаметре и хорошо выделялся на фоне. Это примерно вот столько:

1 + 1/3 длины автобуса ПАЗ 3205
1 + 1/3 длины автобуса ПАЗ 3205

Или

1 + 2/3 длины ГАЗ 2705
1 + 2/3 длины ГАЗ 2705

Для светящегося объекта (эталон — 20 угловых секунд) такая длина должна составить 3,1 метра, то есть очень яркий костёр, примерно размером с автомобиль «Ока» (ВАЗ 1111):

Выходит, наврали?

Выходит, да, и ещё как. Подписывайся, чтобы видеть меньше обмана в ленте!