Найти в Дзене
Войти
1,0×
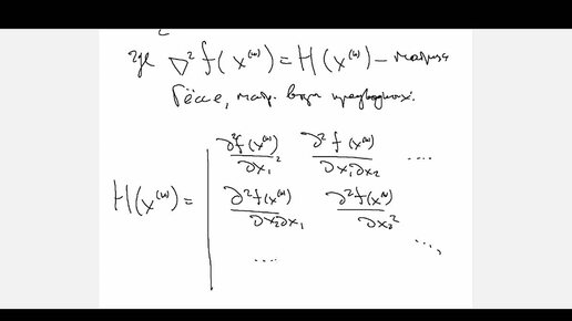
Методы оптимизации 2026 (лекция 6) Метод Ньютона классический
2 просмотра · 1 месяц назад
00:00
/
29:45
DP
54 подписчиков
Подписаться
611851715.957.1776772634124.69041