Найти в Дзене
Войти
1,0×
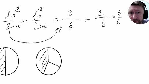
50% школьников складывают дроби не правильно. Смотрите здесь и не теряйте баллы.
4 просмотра · 2 месяца назад
00:00
/
07:05
Тайные записки репетитора математики
35 подписчиков
Подписаться
507916739.901.1777223084666.72445