Найти в Дзене
Войти
1,0×
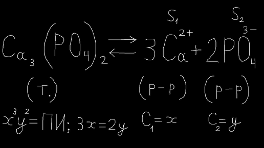
Растворимость: ключевые формулы
1 просмотр · 6 дней назад
00:00
/
07:23
the SOVA
3 подписчиков
Подписаться
507916739.1775.1765485943135.22757