Найти в Дзене
Войти
1,0×
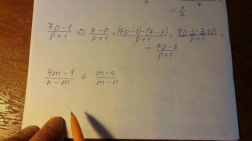
Алгебра 7, 8 класс. Сложение и вычитание алгебраических дробей.
5 просмотров · 2 недели назад
00:00
/
14:47
Математика. Продолжение следует прим.
448 подписчиков
Подписаться
Алгебра 7 класс.
Подборка ·
Математика. Продолжение следует прим.
· 34 из
39
Далее: Алгебра 7, 8 класс. Умножение алгебраических дробей.
Алгебра 7 класс.
· 34 из
39
611851715.1795.1765915459433.79643