Найти в Дзене
Войти
1,0×
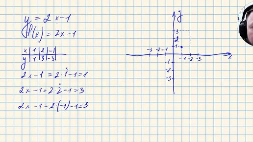
Как научиться строить график за 3 минуты. Без паники-я объясню.
97 просмотров · 2 недели назад
00:00
/
05:33
Взгляд репетитора математики | Лысиченков Олег| ОГЭ 2026
66 подписчиков
Подписаться
Хотите видеть больше публикаций по теме «Образование»?
Давайте
Образование
4,84 млн интересуются
Следить за темой
151053215.1487.1765464569614.17458