Найти в Дзене
Войти
1,0×
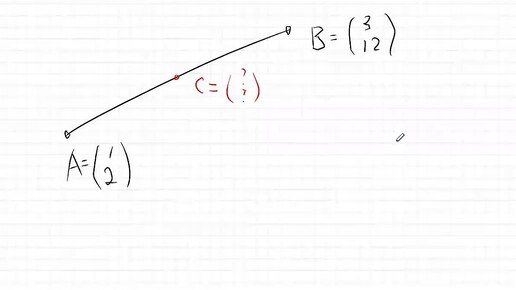
Задачки с векторами
7 дней назад
00:00
/
17:27
Anton Finogenov
3 подписчиков
Подписаться
3013874874.1477.1759684163999.58121