Найти в Дзене
Войти
1,0×
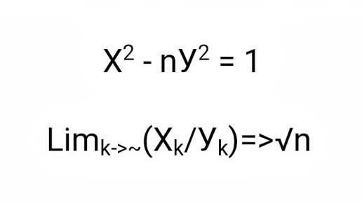
Уравнение Пелля
1 просмотр · 3 недели назад
00:00
/
00:56
Микс
9 подписчиков
Подписаться
2301357735.1933.1760895960507.67405