Найти в Дзене
Войти
1,0×
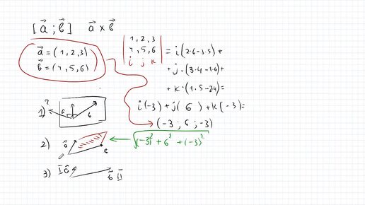
01 02 04 Приложение векторного произведения векторов
3 месяца назад
00:00
/
02:34
Anton Finogenov
5 подписчиков
Подписаться
3752607079.1453.1765920647515.80236