Найти в Дзене
Войти
1,0×
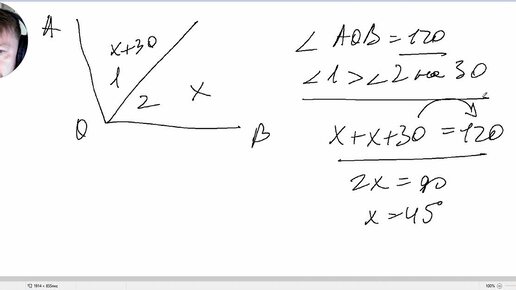
3 самые значимые задачи в курсе геометрии 7 класса.
34 просмотра · 3 недели назад
00:00
/
03:20
Взгляд репетитора математики | Лысиченков Олег
35 подписчиков
Подписаться
Хотите видеть больше публикаций по теме «Подготовка к ЕГЭ»?
Давайте
Образование
4,84 млн интересуются
Следить за темой
1725883881.1963.1759737404994.33692