Найти в Дзене
Войти
1,0×
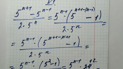
ОГЭ 2026, математика. 2 часть,задание №20.
42 просмотра · 10 месяцев назад
00:00
/
13:31
Зона математики
162 подписчиков
Подписаться
ОГЭ 2025, математика
Подборка ·
Зона математики
· 29 из
31
Далее: ОГЭ 2026, математика. 2 часть, задание №20. Уравнения.
ОГЭ 2025, математика
· 29 из
31
2296203084.1957.1769956004101.34232