Найти в Дзене
Войти
1,0×
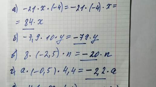
Математика 6 класс. Коэффициент.
389 просмотров · 11 месяцев назад
00:00
/
12:15
Зона математики
162 подписчиков
Подписаться
Математика 6 класс
Подборка ·
Зона математики
· 6 из
10
Далее: Математика 6 класс. Подобные слагаемые.
Математика 6 класс
· 6 из
10
553330357.1996.1769966509988.89414