Найти в Дзене
Войти
1,0×
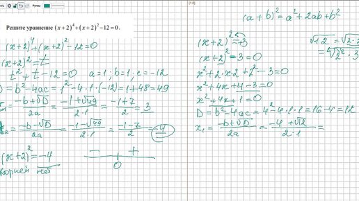
ОГЭ математика Задание 20 5 марта 2025 МА2490401 Решите уравнение (х+2)4(х+2)2-12=0
33 просмотра · 1 год назад
00:00
/
11:40
ЛАРИСА СЕРГЕЕВНА | РЕПЕТИТОР МАТЕМАТИКА
27 подписчиков
Подписаться
Хотите видеть больше публикаций по теме «Образование»?
Давайте
Образование
4,84 млн интересуются
Следить за темой
4115969453.873.1775687725564.21922