Найти в Дзене
Войти
1,0×
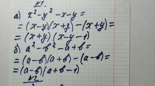
Алгебра 7 класс. Применение различных способов для разложения на множители. Решение уравнений.
285 просмотров · 11 месяцев назад
00:00
/
05:33
Зона математики
162 подписчиков
Подписаться
Алгебра 7 класс
Подборка ·
Зона математики
· 21 из
24
Далее: Алгебра 7 класс. График линейного уравнения с двумя переменными.
Алгебра 7 класс
· 21 из
24
4212918994.1999.1770006119446.93712