Найти в Дзене
Войти
1,0×
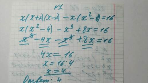
Алгебра 7 класс. Преобразование целого выражения в многочлен. Решение уравнений.
103 просмотра · 7 месяцев назад
00:00
/
07:11
Зона математики
148 подписчиков
Подписаться
Алгебра 7 класс
Подборка ·
Зона математики
· 17 из
24
Далее: Алгебра 7 класс. Применение различных способов для разложения на множители.
Алгебра 7 класс
· 17 из
24
4158704208.1451.1759488220276.44201