Найти в Дзене
Войти
1,0×
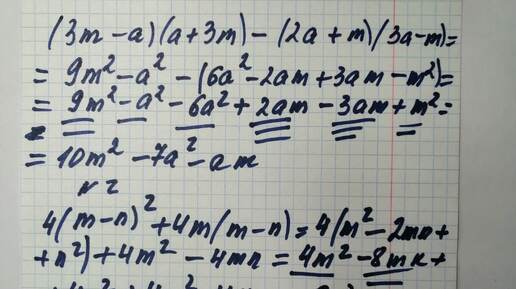
Алгебра 7 класс. Преобразование целого выражения в многочлен.
623 просмотра · 9 месяцев назад
00:00
/
07:55
Зона математики
159 подписчиков
Подписаться
Алгебра 7 класс
Подборка ·
Зона математики
· 16 из
24
Далее: Алгебра 7 класс. Преобразование целого выражения в многочлен. Решение уравнений.
Алгебра 7 класс
· 16 из
24
2905736861.1795.1765708536015.59978