Найти в Дзене
Войти
1,0×
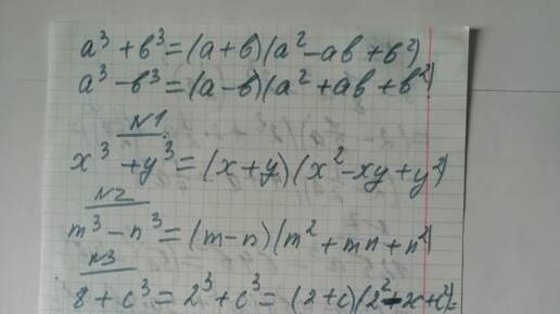
Алгебра 7 класс. Разложение на множители суммы и разности кубов.
104 просмотра · 1 год назад
00:00
/
06:46
Зона математики
189 подписчиков
Подписаться
Алгебра 7 класс
Подборка ·
Зона математики
· 14 из
24
Далее: Алгебра 7 класс. Разложение на множители многочлена, используя формулы сокращенного умножения.
Алгебра 7 класс
· 14 из
24
996666873.891.1776740800057.90637