Найти в Дзене
Войти
1,0×
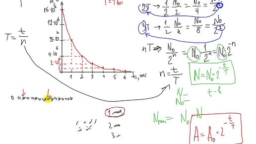
ТЕОРИЯ. Закон радиоактивного распада Период полураспада
79 просмотров · 10 месяцев назад
00:00
/
36:30
Школьная физика
127 подписчиков
Подписаться
2502164914.1794.1765692187286.55147