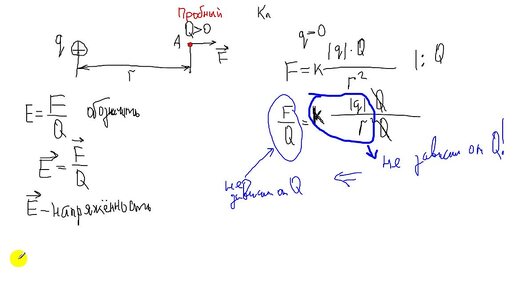
ТЕОРИЯ. Электрическое поле и его свойства. Напряженность электростатического поля. Принцип суперпозиции полей