Найти в Дзене
Войти
1,0×
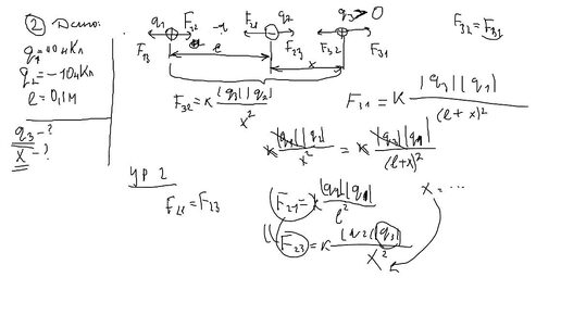
Решение задач на закон Кулона
40 просмотров · 7 месяцев назад
00:00
/
45:04
Школьная физика
124 подписчиков
Подписаться
3077637118.1533.1759258261468.70268