Найти в Дзене
Войти
1,0×
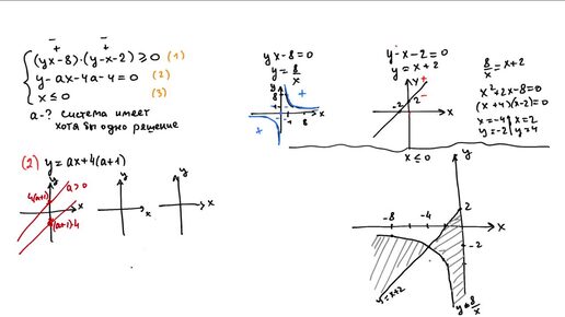
Система с параметром (Ларин 487)
456 просмотров · 1 год назад
00:00
/
19:54
Математика для хомяков
3056 подписчиков
Подписаться
Хотите видеть больше публикаций по теме «Образование»?
Давайте
Образование
190,2 тыс интересуются
Следить за темой
3929810250.896.1777408891067.82480