Найти в Дзене
Войти
1,0×
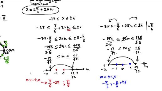
Тригонометрическое уравнение (Ларин 487)
886 просмотров · 9 месяцев назад
00:00
/
31:44
Математика для хомяков
2821 подписчиков
Подписаться
Хотите видеть больше публикаций по теме «Подготовка к ЕГЭ»?
Давайте
Тригонометрия
Подборка ·
Математика для хомяков
· 11 из
11
Последнее видео в подборке
Тригонометрия
· 11 из
11
Образование
4,84 млн интересуются
Следить за темой
2795507249.1898.1761487845260.56009