Найти в Дзене
Войти
1,0×
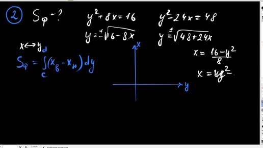
Урок 7. Площади фигур и всякое с десмосом
113 просмотров · 9 месяцев назад
00:00
/
01:00:26
Математика для хомяков
2821 подписчиков
Подписаться
Хотите видеть больше публикаций по теме «Образование»?
Давайте
Образование
4,84 млн интересуются
Следить за темой
3013874874.1498.1761432510639.72071