Найти в Дзене
Войти
1,0×
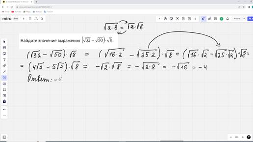
Найти значение выражения (свойства корня квадратного)
13 просмотров · 9 месяцев назад
00:00
/
01:32
Информатика Математика Физика
4273 подписчиков
Подписаться
2833468565.1689.1759305507906.40797