Найти в Дзене
Войти
1,0×
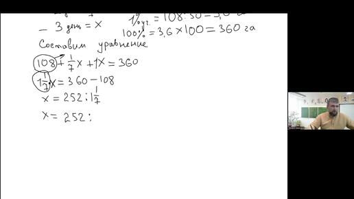
Задача 6 класс. Сколько гектаров было вспахано во второй и сколько в третий день
92 просмотра · 1 год назад
00:00
/
13:01
Михаил Сергеевич Жиренков | ДОБРЫЙ МАТЕМАТИК
182 подписчиков
Подписаться
Хотите видеть больше публикаций по теме «Подготовка к ЕГЭ»?
Давайте
Образование
4,84 млн интересуются
Следить за темой
2090570624.1805.1765799168488.82576