Найти в Дзене
Войти
1,0×
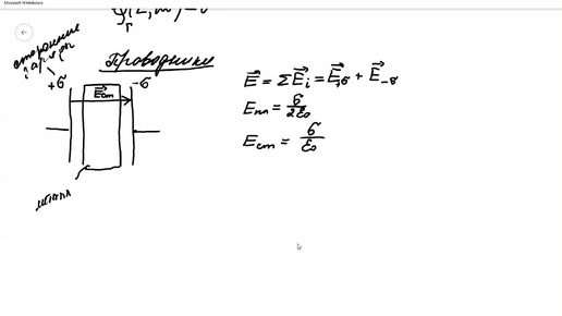
Обсуждение Лекций 11 и 12. Проводники и диэлектрики
84 просмотра · 1 год назад
00:00
/
01:00:38
ФизкультФизика
74 подписчиков
Подписаться
Хотите видеть больше публикаций по теме «Образование»?
Давайте
Проводники и диэлектрики
Подборка ·
ФизкультФизика
· 4 из
4
Последнее видео в подборке
Проводники и диэлектрики
· 4 из
4
Образование
4,84 млн интересуются
Следить за темой
2297275873.983.1774710241546.17451