Найти в Дзене
Войти
1,0×
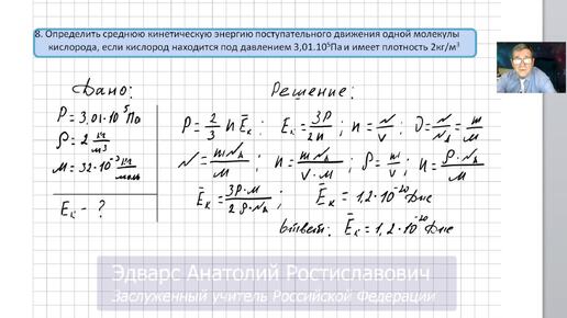
Физика ОК 030 Задача 8 Температура – мера средней кинетической энергии молекул
370 просмотров · 10 месяцев назад
00:00
/
03:07
EdvarsOnline
1123 подписчиков
Подписаться
Хотите видеть больше публикаций по теме «Физики»?
Давайте
Образование
4,84 млн интересуются
Следить за темой
2646513550.1905.1759389870037.45014