Найти в Дзене
Войти
1,0×
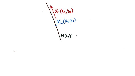
Как составить уравнение прямой на плоскости
202 просмотра · 1 год назад
00:00
/
30:15
уравнение через точку и направляющий
Математика для хомяков
2857 подписчиков
Подписаться
Хотите видеть больше публикаций по теме «Образование»?
Давайте
Образование
4,84 млн интересуются
Следить за темой
3179359805.1575.1765812301311.61021