Найти в Дзене
Войти
1,0×
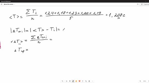
ЛР1. Упражнение 1. Теория к Упражнению 2 Обработка результатов косвенных измерений .
79 просмотров · 2 года назад
00:00
/
35:11
ФизкультФизика
74 подписчиков
Подписаться
Хотите видеть больше публикаций по теме «Образование»?
Давайте
Лабораторная работа №1
Подборка ·
ФизкультФизика
· 1 из
3
Далее: ЛР1. Упражнение 2. Обработка результатов косвенных измерений
Лабораторная работа №1
· 1 из
3
Образование
4,84 млн интересуются
Следить за темой
3175394817.1658.1774698493445.42944