Найти в Дзене
Войти
1,0×
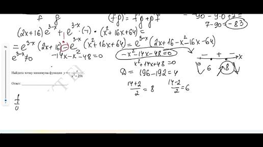
Разбор демоверсии ЕГЭ по профильной математике 2025 | Мария Тигина
19 просмотров · 1 год назад
00:00
/
02:21:07
Онлайн-школа «ЕГЭ Дай 100»
8 подписчиков
Подписаться
553330357.2002.1765915483399.13420