Найти в Дзене
Войти
1,0×
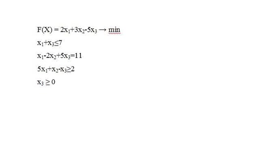
Привести к канонической форме следующую ЗЛП
16 просмотров · 1 год назад
00:00
/
00:55
Новый семестр
22 подписчиков
Подписаться
3451311441.1761.1765578922148.89765