Найти в Дзене
Войти
1,0×
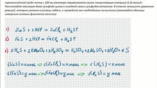
Разбор решения 34 задачи из демоверсии ЕГЭ по химии 2025 года
128 просмотров · 1 год назад
00:00
/
04:10
ОГЭ и ЕГЭ. Школьная Химия.
54 подписчиков
Подписаться
252833751.1943.1759678155622.17976