Найти в Дзене
Войти
1,0×
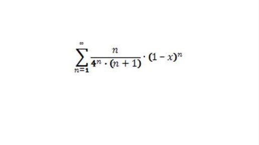
Интервал сходимости степенного ряда
10 просмотров · 1 год назад
00:00
/
00:53
Новый семестр
22 подписчиков
Подписаться
3287074240.1930.1766210485925.50003