Найти в Дзене
Войти
1,0×
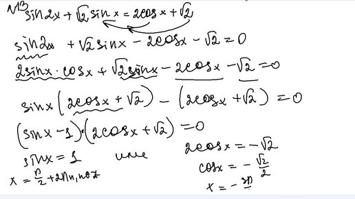
Легкое уравнение №13 из профильной математики. 2 балла в кармане.
12 просмотров · 2 года назад
00:00
/
05:40
Математика рулит| Подготовка к ОГЭ\ЕГЭ по математике
19 подписчиков
Подписаться
2090570624.1980.1766518959859.51185