Найти в Дзене
Войти
1,0×
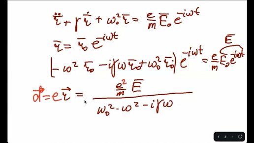
Останина М.В. - Электродинамика.Лекции.Ч.2 - 10. Комплексная диэлектрическая проницаемость
29 просмотров · 2 года назад
00:00
/
01:18:56
Teach-In
12,5 тыс подписчиков
Подписаться
1725883881.991.1774333468062.96832