Найти в Дзене
Войти
1,0×
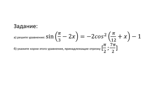
Задания Д8 C1 № 527284 Тренировочного варианта № 278 А. Ларина
2 просмотра · 2 года назад
00:00
/
06:44
Юм канал
101 подписчиков
Подписаться
52205779.786.1776917437366.51099