Найти в Дзене
Войти
1,0×
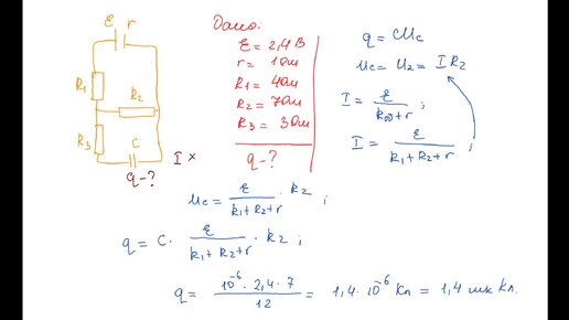
Решение задачи на поиск заряда на конденсаторе
153 просмотра · 2 года назад
00:00
/
02:02
Проводник в мир Физики
380 подписчиков
Подписаться
Хотите видеть больше публикаций по теме «Гаджеты и электроника»?
Давайте
Гаджеты и электроника
5,73 млн интересуются
Следить за темой
89860285.1875.1759442956291.66718